本网讯(物理与光电工程学院)极端条件下的原子核结构研究是当前核物理领域中重要前沿之一。高速转动核可能出现的奇特现象是实验和理论关注的热点。实验上已陆续发现高速转动核的能级交叉、回弯、Signature splitting等新奇现象。解释这些现象背后的物理机制,并预言高速旋转核可能出现的新现象,成为了理论研究中至关重要的问题。

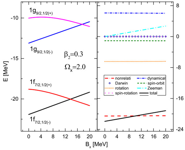
图1 转动原子核Signature双重态能级劈裂及其组分随类磁场Bx的变化。左图显示的Signature双重态
1f7/2(±)和1g9/2(±)能级劈裂随Bx的变化,右图显示每个组分对Signature双重态1f7/2(±)能级劈裂的贡献。
物理与光电工程学院原子核和粒子物理团队郭建友教授创新性地将重整化群方法与推转的协变密度泛函理论相结合,成功实现了包含时空矢量场、标量场及转动效应的Dirac哈密顿算符的解析对角化,获得了自旋轨道耦合、动力学耦合和Darwin项等,这些算符已经在原子核的自旋轨道耦合、赝自旋对称性、能级反转和幻数移动等现象的研究中发挥重要作用。特别是新获得了与转动效应相关的相对论转动算符、类Zeeman算符和自旋转动耦合算符,再现了实验上发现的Signature splitting现象,解释了Signature splitting的物理机制(如图1所示)。预言了高速转动核可能出现的类Zeeman效应和自旋转动耦合效应,为实验探测转动核的新奇现象提供了理论依据(如图2所示)。相关成果以“Prediction of novel effects in rotational nuclei at high speed”(DOI:10.1016/j.physletb.2024.138532)为题发表在核物理领域国际顶级期刊《Physics Letters B》上。

图2 类Zeeman效应算符和自旋转动耦合算符对Signature双重态1f7/2(±)和1g9/2(±)能级的贡献及其随类磁场Bx的演化。
此外,郭建友教授与中国科学院兰州近代物理研究所张玉虎研究员等合作,通过精确分析新核素23Si、26P、27S、28S和31Ar的结构,为26P等可能是晕核的实验预言提供了有力的理论支持。相关研究成果分别发表在物理学顶级期刊《Physical Review Letters》(DOI:10.1103/PhysRevC.110.014323)、《Physical Review C》(DOI:10.1103/PhysRevLett.133.222501)上。
2024年,原子核和粒子物理团队取得了多项显著成就。团队成员牛中明教授成功入选国家级青年人才计划。团队新增了包括国家自然科学基金面上项目在内的多个科研项目,在研的国家自然科学基金重点项目取得重要进展。团队成功举办了首届“安徽省核物理研讨会”,吸引了众多业内专家参与,有力推动了省内核物理学科的发展和学术交流。团队还与日本东京大学共同举办了“原子核结构中的机器学习及密度泛函理论”国际研讨会,吸引了国内外十多家单位的五十多位专家参会。团队成员在第十九届全国核结构大会和第十届国际核实验与理论信息统计研讨会(ISNET-10)等重要会议上做了十多次邀请报告,进一步提升了我校在核物理研究领域的影响力。




