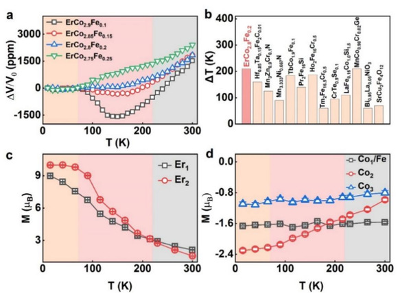
本网讯(材料科学与工程学院 周乾坤)零膨胀合金由于其温度诱导下尺寸不变与优异的材料学性能在半导体工业、集成电路与国防安全等高新技术领域中具有广泛应用。近期,王守国教授团队研发出新型稀土合金Er-Co-Fe材料,在10-220 K温度范围内展现出优异的零膨胀特性。利用综合物性测试及中子衍射等实验手段揭示了稀土亚晶格主导的磁体积效应所诱导可调控热膨胀行为和优异零膨胀效应。本项工作为高性能稀土磁相变功能材料在当前高新工业领域和学术研究等方面奠定了基础。相关研究成果以“Zero Thermal Expansion via the Unconventional Sublattice-Magnetovolume Effect in Rare-earth Ferrimagnets”为题发表在材料学科顶级期刊《Advanced Functional Materials》(DOI:10.1002/adfm.202416314)。安徽大学材料科学与工程学院许家旺副教授和北京科技大学王古月博士为本文第一作者,安徽大学王守国教授和北京科技大学郑新奇副教授为通讯作者。安徽大学为第一通讯单位。

图1.Er-Co-Fe磁体可调控热膨胀行为与零膨胀性能比较,中子衍射所得各原子磁矩随温度变化关系
拓扑自旋结构,如斯格明子、反斯格明子及霍普夫子等有望用于高密度、低能耗的新型磁信息存储而成为材料学与物理学的研究前沿。拓扑自旋结构的形成是多种磁相互作用竞争的结果。MnFeGe磁体由于面间铁磁和面内反铁磁相互作用呈现出非共线磁结构。王守国教授团队利用Co替代在提升居里温度和磁偶极相互作用的同时,将非共线磁结构转变为单轴铁磁结构,并利用洛伦兹透射电镜观察到迷宫畴向条纹畴的转变。样品厚度依赖的条纹畴周期及场冷激励后的磁泡尺寸揭示了磁畴结构调控及磁泡晶格的形成与磁结构转变和磁偶极相互作用的紧密关联,并利用微磁模拟进一步证实物理机理,为拓扑自旋结构的设计与应用提供了实验和理论依据。相关研究成果以“Magnetic structure-dependent spin texture lattice in hexagonal MnFeCoGe magnets”为题发表在材料学科顶级期刊《ACS Nano》,18 (2024) 24515。安徽大学材料科学与工程学院许家旺副教授为本文第一作者,王守国教授为通讯作者。安徽大学为唯一通讯单位。

图2.MnFe1-xCoxGe磁体由非共线磁结构转变为单轴铁磁结构,与之而来的是迷宫畴向条纹畴的转变

图3.样品厚度依赖的条纹畴周期与场冷激励下的磁泡大小




