本网讯(物理与光电工程学院)近日,我校丁文新教授团队联合美国莱斯大学斯其苗研究组在阻挫重费米子系统研究上取得重要进展,相关成果以“几何阻挫重费米子金属中的反常霍尔效应和量子临界性”为题发表在物理学顶级期刊《物理评论快报》上。丁文新教授为论文共同第一作者,安徽大学为第一单位。
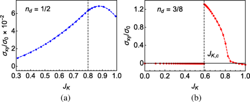
关于重费米子钛酸铱(Pr₂Ir₂O₇)的研究表明,时间反转对称性破缺在几何受挫的近藤晶格中起到了重要作用。本项工作中,丁文新教授团队探讨了方格晶格中的J1-J2 模型和晶格模型中的近藤耦合及手性自旋液体的效应,提出了一种新的手性相反常霍尔效应机制。根据该机制团队计算了近藤破坏相和近藤屏蔽相的手性态的反常霍尔系数,并预测了在量子临界点附近,当费米面突然重构时,反常霍尔系数发生跃变。钛酸铱的量子临界性在Nat. Commun. 12, 1377 (2021)中被证实。

图 J1-J2方格近藤晶格(a)与笼目近藤晶格(b)模型中的反常霍尔系数随近藤耦合的变化。笼目近藤晶格在跨过量子临界点(虚线)时费米面发生突然的重构,其反常霍尔系数亦同时发生跳变




